Hasil riset sanggup saja reliabel namun belum tentu valid. Persyaratan bagi sebuah test instrumen penelitian yaitu validitas dan reliabilitas ini penting.
Contoh Hasil Uji Validitas Menggunakan Spss Tesis Disertasi
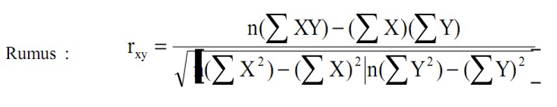
Contoh validitas dan reliabilitas. Validitas dan reliabilitas instrumen penelitian validitas adalah ketepatan alat ukur instrumen dalam mengukur apa yang hendak diukur. Ok sebelum saya berikan penjelasan lebih lanjut mengenai uji reliabilitas serta perhitungan dan contoh uji reliabilitas dengan excel kita coba review sedikit apa keterkaitan uji validitas dan reliabilitas. Posting pada sosiologi ditag 2006 2012 cara agar instrumen valid dan reliabel cara menghitung indeks validitas tes contoh instrumen non tes contoh reliabilitas contoh soal reliabilitas contoh soal validitas dan reliabilitas contoh uji validitas dan reliabilitas manual contoh validitas cooper dan schindler cronbach alpha 0 5 cronbach alpha menurut sugiyono dalam zulganef definisi. Sebagian pembaca mungkin bertanya tanya selama ini apa sih perbedaan antara uji validitas dan reliabilitas. Artikel uji validitas dan uji reliabilitas dengan spss ini menggunakan korelasi product moment. Validitas dan reliabilitas instrumen a.
Uji validitas dan reliabilitas. Validitas dan reliabilitas a. Pengertian validitas menurut azwar 1986 validitas berasal dari kata validity yang mempunyai arti sejauh mana ketepatan dan kecermatan suatu alat ukur dalam melakukan fungsi ukurnya. Reliabilitas reliabilitas adalah stabilitas dan konsistensi hasil pengukuran berulang dari waktu ke waktu. Indikator depresi yaitu hilang nafsu makan merasa kelelahan dan berniat bunuh diri. Sebelum kita melakukan pengujian baiknya kita ketahui terlebih dahulu apa dan bagaimana suatu kuesioner bisa dikatakan valid dan reliabel.
Validitas dan reliabilitas bertujuan untuk megetahui sejauh mana kuesiner yang dibuat tepat dan dapat diandalkan untuk sebuah penelitian. Tetapi hasil riset yang valid biasanya reliabel. Validitas dapat diukur dengan. Contoh lain peneliti ingin mengukur kemampuan berbicara tapi ditanya mengenai tata bahasa atau kesusastraan seperti puisi atau sajak. Validitas dan reliabilitas reliabilitas adalah ukuran yang menujukkan bahwa alat ukur yang digunakan dalam penelitian keperilakukan mempunyai keandalan sebagai alat ukur diantaranya di ukur melalui konsistensi hasil pengukuran dari waktu ke waktu jika fenomena yang diukur tidak berubah harrison dalam zulganef 2006. Validitas dan reliabilitas merupakan potongan dari proses pengukuran dalam penelitian.
Keduanya adalah dua hal yang benar benar berbeda namun saling melengkapi satu sama lain. Uji validitas dan reliabilitas. Analisi faktor validitas instrumen ditentukan dengan mengorelasikan antara skor yang diperoleh setiap butir pertanyaan dengan skor totalnya. Berikut kami sampai dulu singkat saja perihal perbedaan antara uji validitas dan reliabilitas. Hasil riset sosial termasuk sosiologi baik kualitatif maupun kuantitatif harus reliabel dan valid biar kredibel. Pengertian validitas merupakan suatu ukuran yang menunjukkan kevalidan atau.
Tes depresi yang tidak mampu mengukur ketiga aspek tersebut sekaligus maka tes tersebut memiliki validitas rendah.
















