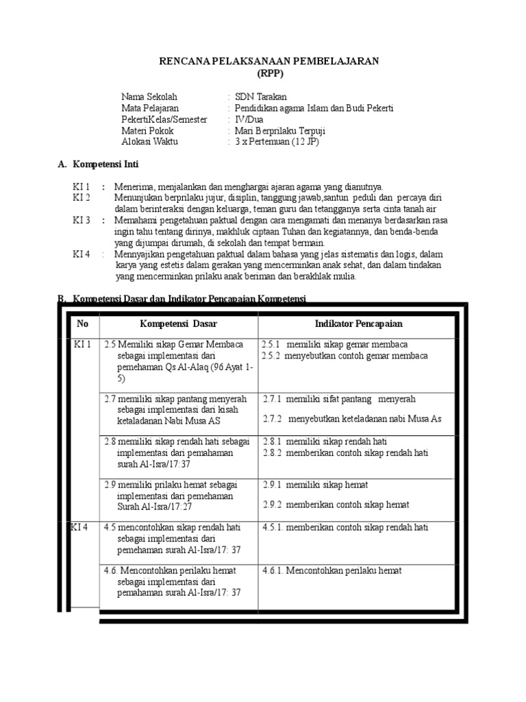
Sebutkan 3 contoh sikap optimis tawakal ikhtiar 3631119 optimis ikhtiar dan tawakkal adalah 3 sikap positif yang harus dimiliki seseorang dalam menyongsong masa depannya. Sebutkan 3 contoh sikap optimis.
Pengertian Dan Contoh Sikap Apresiatif Berbangsa Dan
Sebutkan 3 contoh sikap optimis. Sebutkan 3 contoh ikhtiar dan tawakal. Posting pada s1 s2 s3 ditag 3 teori sikap aspek sikap kerja attitude di tempat kerja bab 3 sikap dan kepuasan kerja contoh komponen kognitif contoh perilaku penyayang terhadap hewan contoh setia kawan adalah contoh sikap kerja contoh sikap kerja yang baik contoh sikap kerja yang tidak baik contoh sikap kreatif contoh sikap saling. Jelaskan pengertian sifat optimis ikhtiar dan tawakal. Jelaskan manfaat bersifat optimis. Sikap ilmiah menurut mulyono anton yang dikutip oleh suyitno amin 1997. Sedangkan menurut allen ledward yang dikutip suyitno amin adalah an attitude as degree of positive or negatif affect associated with some pychological objects.
Optimis bisa diartikan sebagai suatu keyakinan bahwa segala sesuatunya akan berjalan dengan baik baik saja atau memiliki harapan baik dalam menjalankan sesuatu. 8 mts smp mapel. Berikut sharing di sini 10 sikap optimis yang penting anda terapkan dalam kehidupan sehari hari menurut david mezzapelle penulis contagious optimism agar anda dapat menjalani hidup dengan sebaik baiknya dan meraih sukses. Sebutkan 3 contoh sikap optimis. Sebelum menginformasikan mengenai 3 contoh sikap optimis ada baiknya kita mengenal apa itu optimis. Sebelum menginformasikan mengenai 3 contoh sikap optimis ada baiknya kita mengenal apa itu optimis.
Sebutkan 3 contoh sikap optimis. Sikap manusia dalam menghadapi masalah. Contoh sikap positif terhadap pancasila dalam lingkungan sekolah. Sebutkan 3 contoh sikap optimis. 3112291 kelas. Optimis adalah pancasila adalah ideologi terbuka maksudnya pancasila sebagai sumber nilai sebutkan 4 contoh sikap positif dalam bekerja sebutkan dan jelaskan macam macam hukum dasar sebutkan isi piagam jakarta sebutkan makna sila ke 4 pancasila.
2 sikap yang disiapkan bertindak untuk perbuatan yang berdasarkan pada pendirian pendapatkeyakinan. Optimis bisa diartikan sebagai suatu keyakinan bahwa segala sesuatunya akan berjalan dengan baik baik saja atau memiliki harapan baik dalam menjalankan sesuatu. Jelaskan manfaat orang yang berikhtiar dan bertawakal. Contoh perilaku tawakal dan hikmah tawakal sebelumnya kami sudah membahas tentang pengertian tawakal maka dari itu yang belum adalah contoh dan hikmah berperilaku tawakalsebelumnya artikel ini diterbitkan juga sudah kami tulis tentang pengertian contoh dan hikmah perilaku zuhudoke langsung saja berikut ini kami jelaskan tentang tawakal.

:strip_icc():format(jpeg)/kly-media-production/medias/13055/original/orang-kantor-131023c.jpg)










