Penghasilan rata rata untuk 6 orang adalah rp. Contoh soal tentang statistika ini disusun dalam bentuk pilihan berganda disertai dengan pembahasan dan dirancang sedemikian berdasarkan beberapa subtopik yang paling sering keluar dalam kajian statistika.
Soal Stis 2020 Dan Pembahasan Spmb Stis 2020 Pagunpost
Contoh soal statistika matematika. Contoh soal statistika pilihan ganda dan jawaban pembahasan pelajaran matematika kelas 12 siswa harus mempelajari materi statistika dan paham cara menghitung soalnya. Contoh soal statistika matematika dasar. Itulah pembahasan yang bisa kami sampaikan dan jelaskan terkait rumus statistika dasar matematika secara lengkap dan semoga apa yang sudah saya tulis diatas dapat dicerna dan bisa memberikan manfaat untuk kalian para pembaca yang notabenya para pelajar atau siswa siswi baik itu tingkat sekolah menengah. Secara umum statistika merupakan cabang ilmu yang mempelajari bagaimana merencanakan mengumpulkan menganalisis menginterpretasi dan mempresentasikan data. Soal matematika kelas 6 sd semester 1. Nilai rata rata ujian matematika di kelas x a adalah 65.
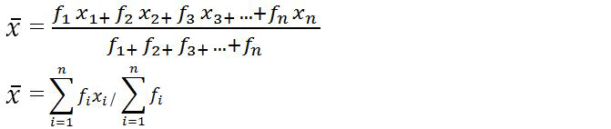
Singkatnya statistika adalah ilmu yang berkenaan dengan data. Pelajari rangkuman materi statistika dilengkapi dengan contoh soal statistika beserta pembahasan jawaban lengkap dari soal un dan sbmptn untuk kelas xii12. Statistika ini adalah studi tentang bagaimana merencanakan mengumpulkan menganalisis menafsirkan dan. Contoh soal dan pembahasan tentang statistika sma contoh soal dan pembahasan tentang rumus rata rata contoh soal dan pembahasan tentang rata rata data kelompok. Frekuensi histogram di bawah ini menunjukkan nilai tes matematika sekelompok siswa sma kelas xii ips. Rata rata nilai raport tersebut adalah.
Semoga saja dengan adanya soal latihan matematika ini anak anak lebih dapat berpikir dengan sendirinya dan menimbulkan jiwa ingin mengetahui mereka untuk orang tua agar membimbing anak nya dengan sabar agar mereka lebih memahami dan lebih menyukai tentang matematika. Materi statistika yang juga dibahas dalam sekolah lanjutan tingkat pertama dalam kelas ix akan kita bahas dalam rumus matematika kali ini. Sebelumnya telah dibahas mengenai rumus rumus dalam statistika sehingga kita kali ini akan belajar mengenai contoh soal dan pembahasan statistika. Jika datang 1 orangmaka penghasilan rata rata menjadi rp. Contoh soal statistika matematika dan jawaban 1.















