Integral tentu merupakan bentuk integral yang memiliki batas atas dan batas bawah sehingga nilainya lebih pasti. Pada postingan kali ini saya akan memposting tentang integral tentu.
Contoh Soal Integral Tak Tentu Bentuk Akar Skuylahhu
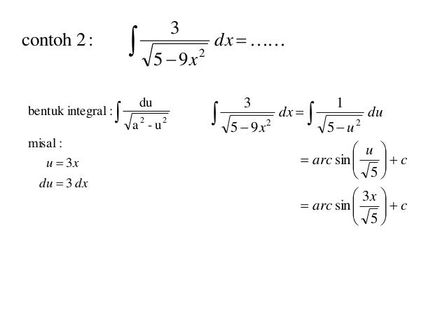
Contoh soal integral tentu. Contoh soal dan pembahasan integral tentu posted by edutafsi on 14 april 2015 1036 am. Setelah sebelumnya kita membahas lengkap materi integral kali ini kita akan membahas contoh soal integral dengan menggunakan sifat sifat integral tentu dan tak tentusimak soal dan pembahasan berikut untuk meningkatkan pemahamanmu mengenai cara penyelesaian soal soal integral. Contoh soal integral tentu dan penyelesaiannya tutorial mata pelajaran matematika kali ini akan membahas soal soal tentang integral tertentu. Contoh soal integral tentu tak tentu substitusi parsial trigonometri by angga murjana posted on 08042020. Integral merupakan cabang ilmu matematika yang memiliki tingkat kesulitan cukup tinggi. Contoh soal rumus integral kalkulus integral tak tentu tertentu pengertian substitusi parsial penggunaan pembahasan fungsi aljabar luas volume benda putar matematika pernahkah kalian memperhatikan bentuk kawat kawat baja yang menggantung pada jembatan gantung.
Contoh soal dan pembahasan. Nah kali ini kita lanjutkan dengan integral tertentu. Perhatikan gambar jembatan akashi kaikyo di atas selat akashi yang menghubungkan maiko di kota kobe dengan kota awaji di. Sebelum masuk pada contoh soal dan pembahasannya saya mengulas sedikit tentang pengertian dari integral tentu dan apa saja sifat sifat yang perlu kita ketahui dalam mengerjakan soal. Fungsi ini belum mempunyai nilai pasti sampai cara pengintegralan yang menghasilkan fungsi tidak tentu ini disebut sebagai integral tak tentu. Demikianlah pembahasan mengenai contoh soal integral tentu tak tentu substitusi parsial dan rumus semoga dengan adanya ulasan tersebut dapat menambah wawasan dan pengetahuan kalian semua terima kasih banyak atas kunjungannya.
Assalamualaikum wr wb salam sejahatera untuk semuanya. Pada pembahasan sebelumnya telang disinggung tentang integral tak tertentu yang dilengkapi juga dengan pembahasan beberapa soal. Integral tentu akan menghasilkan nilai tertentu yang bergantung pada batasnya. Integral tak tentu atau yang dalam bahasa inggris biasa disebut sebagai indefinite integral maupun ada juga yang menyebutnya sebagai antiderivatif merupakan sebuah bentuk operasi pengintegralan pada suatu fungsi yang menghasilkan suatu fungsi baru.

















