Hukum gauss dan contoh soal may 1 about me. Seperti soal sebelumnya untuk gambar a φ qε 0 30 x 10 6885 x 10 12 34 x 10 5 wb dan untuk gambar b φ qε 0 0885 x 10 12 0 tidak ada muatan yang dilingkupi daerah tertutup itu soal 3 jika pusat sebuah bola berjari jari 1 m terdapat muatan sebesar 2 μc besar fluks listrik yang keluar dari permukaan bola mendekati.
Listrik Magnet Hukum Gauss
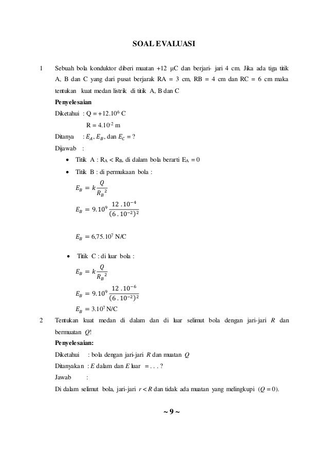
Contoh soal hukum gauss. Tentukan kuat medan listrik di a b c tersebut. Hukum gauss dan contoh soal. Contoh soal hukum gauss contoh soal hukum gauss. Sebuah bola kecil bermuatan listrik 10 μc berada di antara keping sejajar p dan q dengan muatan yang berbeda jenis dengan rapat muatan 177 x 10 8 cm 2. Sekar arum sari lahir di pontianak 15 agustus 1995. Rumus hitung jul 3 2014 ketika belajar listrik statis sobat akan menjumpai sebuah hukum yang namanya hukum gauss.
Theme images by luoman. Hukum gauss berbunyi bahwa fluks listrik total yang melalui sembarang permukaan tertutup sebuah permukaan yang mencakup volume tertentu sebanding dengan muatan lisfiik netto total di dalam permukaan itu. Hukum gauss dapat digunakan untuk menghitung medan listrik dari sistem yang mempunyai kesimetrian yang tinggi misalnya simetri bola silinder atau kotak. Titik a b dan c masing masing berjarak 5 cm 7 cm dan 10 cm dari pusat bola. Jika g 10 ms 2 dan permitivitas udara adalah 885 10 12 c 2 nm 2. Sebuah bola konduktor dengan jari jari 7 cm diberi muatan sebesar 7 µc.
Anak ke 2 dari 3 bersaudara kuliah di ikip pgri pontianak angkatan 2013 view my complete profile. Contoh soal hukum gauss. Hukum ini menceritakan hubungan antara fluks litrik hmogen yang melalui sebuah bidang luasan dan muatan listrik.















