Soal dan pembahasan operasi hitung pada bentuk aljabar part 2 artikel kali ini akan membahas mengenai soal soal pada soal dan pembahasan operasi hitung pada bentuk aljabar part 1 oleh maya safitri diposting pada juni 9 2020. Demikian contoh contoh soal tentang aljabar kelas 8.
Contoh Soal Limit Fungsi Aljabar Dan Pembahasannya Pdf
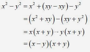
Contoh soal faktorisasi aljabar dan penyelesaiannya. Kita lanjutkan penyelesaiannya 2x 5 35 2x 30 x 15 jadi umur kakak sekarang adalah 15 tahun dan adik adalah 15 5 10 tahun. Contoh soal faktorial dan penyelesaiannya. Faktorial merupakan penulisan singkat dari perkalian sederetan bilangan bulat positif terurut hingga 1. Soal aljabar kelas 7. Posted in matematika tagged contoh soal faktorisasi aljabar dan penyelesaiannya faktorisasi bentuk ax2bxc dengan a1 kumpulan soal faktorisasi aljabar kelas 8 pemfaktoran aljabar pangkat 3 pemfaktoran bentuk aljabar suku dua pemfaktoran kuadrat pengertian pemfaktoran soal cerita pemfaktoran aljabar post navigation. Halo adik adik berikut ini kakak admin bagikan contoh soal aljabar soal matematika kelas 7 smp mts lengkap dengan kunci jawaban dan pembahasan.
Contoh polinomial di atas dapat difaktorkan sebagai x 1x 3. Dua soal yang penting dan berhubungan di dalam aljabar adalah faktorisasi polinomial yaitu mengekspresikan suatu polinomial sebagai perkalian dari polinomial polinomial lainnya yang tidak dapat difaktorkan lagi dan komputasi faktor persekutuan terbesar polinomial. Penjumlahan dan pengurangan aljabar soal 1 sederhanakan bentuk aljabar. Semoga bisa dijadikan referensi untuk belajar. Agustus 26 2019 januari 26 2020 admin contoh soal faktorial faktorial. Postingan ini membahas contoh soal faktorial dan penyelesaiannya atau pembahasannya.
Jangan lupa untuk banyak berlatih contoh contoh soal yang lebih. Pembahasan soal limit fungsi aljabar soal limit dengan pemfaktoran contoh limit dengan substitusi contoh limit dengan membagi pangkat tertinggi soal limit untuk tak terhingga. Soal aljabar ini terdiri dari 25 butir soal pilihan ganda. Contoh soal aljabar dan penyelesaiannya beserta jawabannya by azzahra rahmah posted on january 6 2020 rumuscoid pada kesempatan kali ini kita akan membahas mengenai contoh soal tentang aljabar dan pada kesempatan sebelumnya kita juga telah membahas tentang contoh soal mengenai vektor nah untuk saat ini materi lengkap tentang contoh soal mengenai aljabar.
















