Dengan demikian t 0 22 x 10 6 s. Waktu hidup muon menurut kerangka acuan muon adalah selang waktu sejati t 0.
Teori Relativitas Khusus Dan Fenomena Kuantum Fisika Kelas
Contoh soal dilatasi waktu. A waktu hidup muon menurut pengamat di bumi adalah selang waktu relativistik t dihitung dengan dilatasi waktu t γt 0. V menunjukkan kelajuan peristiwa atau pengamat c adalah kelajuan cahaya dan t adalah waktu yang peristiwa yang diamati oleh pengamat yang bergerak atau sebaliknya. Mencari luas bangun datar jika diketahui koordinat. Untuk mencari luas segitiga tanpa digambarkan bisa digunakan dibaca pada artikel. Rumus relativitas massa dan energi. Penyelesaian soal ini sangatlah mudah masing masin titik cukup dikalikan dengan faktor dilatasi yaitu 3.
Hitunglah luas segitiga yang baru. Kita akan menggunakan. Seperti ruang dan waktu. Diketahui sebuah segitiga abc dengan titik sudut a 23 b 71 dan c 2 5. March 27 2018 admin leave a comment. Oleh karena itu dilatasi ruang dan waktu menjadi sangat tidak berpengaruh untuk benda yang bergerak jauh dibawah kecepatan cahaya.
Hal ini terjadi karena waktu bukanlah suatu besaran yang mutlak. Dilatasi waktu menjelaskan bahwa waktu pengamatan antara pengamat yang diam dengan pengamat yang bergerak relatif terhadap kejadian adalah tidak sama. November 27 2019 januari 26 2020 admin contoh soal dilatasi waktu dilatasi waktu pembahasan soal dilatasi waktu postingan ini membahas contoh soal dilatasi waktu dan pembahasannya. Secara matematis kedua waktu tersebut dapat dituliskan dalam persamaan matematis sebagai barikut. Perisitiwa tersebut dinamakan dilatasi waktu. Postulat teori relativitas einstein transformasi lorentz dilatasi waktu kontraksi panjang contoh soal rumus jawaban fisika albert einstein 1879 1955 mendasarkan teorinya pada dua postulat dan semua kesimpulan mengenai relativitas khusus diturunkan dari kedua postulat tersebut.
Jika segitiga abc tersebut di dilatasi 3 dengan pusat m 13. Contoh soal dan jawaban relativitas 1. Maka akan diperoleh hasil a 69 b 213 dan c 6 15. Nilai ab merupakan pusat dilatasi yaitu 13. Dengan demikian kita harus menghitung γ terlebih dahulu. Selang waktu yang diukur oleh jam yang relatif bergerak terhadap kejadian dengan jam yang diam terhadap kejadian waktu.
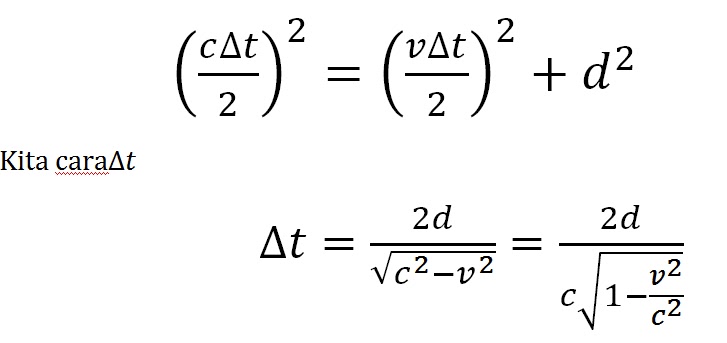
Dilatasi waktu menurut einstein selang waktu yang terukur oleh pengamat yang diam terhadap kejadian dan yang terukur oleh pengamat yang bergerak dengan kelajuan konstan terhadap kejadian tidaklah sama. Dilatasi waktu dalam mengemukakan teori relativitas khusus einstein menyatakan bahwa waktu pengamatan antara pengamat yang diam dengan pengamat yang bergerak relatif terhadap kejadianperistiwa adalah tidak sama. Tentukanlah bayangan segitiga abc atau abc. Tetapan transformasi k adalah bilangan yang lebih besar dari 1 sehingga dalam persamaan di atas δ t selalu lebih besar daripada δ t 0dapatlah kita simpulkan bahwa selang waktu yang diamati oleh jam yang bergerak terhadap kejadian adalah lebih lama daripada selang waktu yang diamati oleh jam yang diam terhadap kejadian δ t δ t 0peristiwa ini dinamakan dilatasi waktu atau pemuluran waktu.















