Oleh karena itu pembahasan pada. Perhatikan bahwa jika p1 deretp menjadi deret harmonik yang divergen.
Uji Konvergensi Deret Dengan Uji Rasio
Contoh soal dan pembahasan deret konvergen dan divergen. Quote by paul erdos mathematics is the surest way to immortality. Pada banyak keadaan c sama dengan nol contohnya pada deret. Deret p ini merupakan deret yang penting dan sering digunakan dalam menguji kekonvergenan suatu deret. If you make a big discovery in mathematics you will be remembered after everyone else will be forgotten. Jelas bahwa n n lima 0 tetapi deret harmonik adalah deret yang divergen. Barisan dan deret page 9 teorema uji integral bahwa deretp konvergen apabila p 1 dan divergen apabila 0 p 1.
Jelas kedua deret ini divergen divergen tak sejati. Ambil sedangkan. Orang bodoh belajar ketika mereka terpaksa. Dengan a n melambangkan koefisien suku ke n c adalah konstanta dan x berubah ubah di sekitar c karena alasan ini kadang kadang deret seperti ini dikatakan berpusat di cderet ini biasanya berupa deret taylor dari suatu fungsi. Suatu deret disebut deret konvergen jika barisan dari semua jumlah bagiannya yaitu s1 s2 s3 adalah konvergen misalnya deret yang konvergen yaitu seperti deret berikut ini. Kedua deret ini merupakan deret divergen berosilasi pada angka 1 dan 1.
Anda bisa mencari contoh lain dengan memanipulasi bentuk seperti ini memainkan tanda plus dan minus. Karena jika dijumlahkan sampai suku yang tak hingga jumlahnya masih bisa ditentukan jumlahnya masih berhingga. Sum n displaystyle sumn1infty n quote by arthur wellesley orang bijak belajar ketika mereka bisa. Kita sangat sulit menentukan apakah deret tersebut konvergen atau divergen. Berikut ini disajikan soal beserta pembahasan mengenai uji konvergensi deret yang dipelajari dalam mata kuliah analisis real. Deret tersebut adalah termasuk deret konvergen.
Sebaliknya divergen artinya tidak memusat bisa jadi menyebar berisolasi atau mungkin konstan yang pasti tidak menuju ke suatu titik tertentu. Konvergen artinya memusat atau menuju ke suatu titik tertentu. Ada dua istilah yang sering digunakan menyangkut barisanderet tak hingga yaitu konvergen dan divergen. Berikut ini merupakan soal dan pembahasan mengenai deret yang dipelajari pada perkuliahan analisis real. Jika berbicara deret tak hingga maka tidak akan lepas dari tiga unsur di dalamnya definisi deret tak hingga apa saja bentuk deret tak hingga dan bagaimana kekonvergenan dari suatu deret tak hingga. Oleh karena itu perlu dilakukan uji uji untuk deret positif.
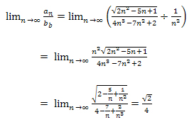
Contoh soal dan pembahasan uji konvergensi deret series convergence tests martha yunanda baris dan deret di bawah ini terdapat beberapa soal mengenai pembuktian uji konvergensi deret atau dikenal dengan series convergence test. Soal nomor 1 tunjukkan bahwa displaystyle sumn1infty dfrac1n2n konvergen. Sebagai contoh deret harmonik n 1 n 1 1 n 1. Tetapi jelas konvergen ke 0. 8 1 7 1 6 1 5 1 4 1 3 1 2 1. Catatan penting untuk penulisan notasi sigma tanpa batas bawah dan atas.
Deret pangkat satu variabel dalam matematika adalah deret tak terhingga dalam bentuk. Tanpa panjang kali lebar alas kali tinggi mari kita come on masuk pada bahasan deret tak hingga.
















